全国同城空降快餐群_全国51茶楼信息网_同城叫妹子_全国51茶楼信息网

浙轮电力主营APF有源电力滤波装置、电容器系列、电抗器系列、智能复合开关和无功补偿控制器等产品。
ZLDL-电抗器系列
ZLDL-ZXL正弦波滤波电抗器
所属分类:ZLDL-电抗器系列

 应用电路:
异步电机变频传动,变频器输出侧,抑制及吸收开关频率纹波电流所衍生的高次谐波电流,降低长电缆行波反射dv/dt瞬变电压,矫正波形近似为正弦波,大大延长了输出电缆长度,从而降低电机涡流损耗及噪音,保护电机绝缘。


性能特点


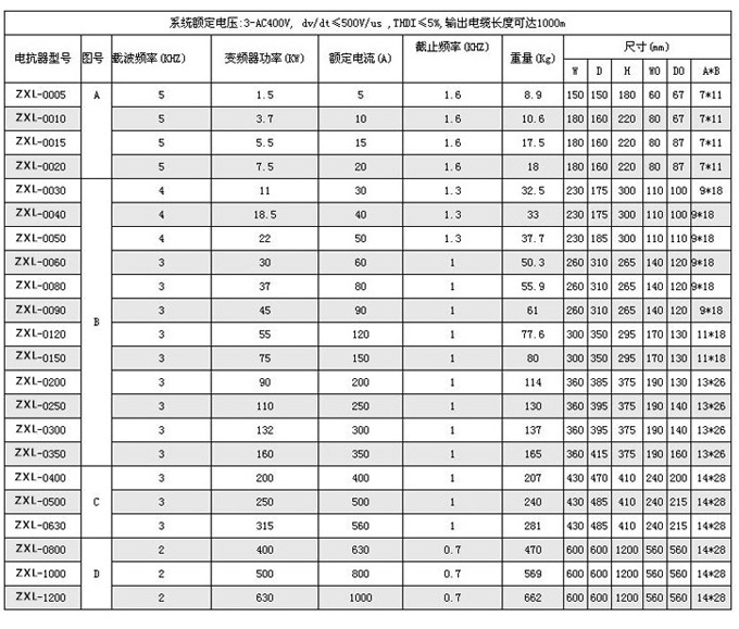
尺寸及技术参数:



正弦波滤波器(UD=8%-12.5%)技术参数:

备注:
产品标示A、B、C为滤波器三相输入端,X、Y、Z为滤波器三相输出端,L、N为220V风机电源接线端。

主站蜘蛛池模板: 翼城县| 许昌县| 出国| 阜南县| 岗巴县| 古丈县| 武定县| 綦江县| 香河县| 子长县| 富源县| 锡林郭勒盟| 阳城县| 福鼎市| 建水县| 黄大仙区| 龙井市| 阜新市| 湟中县| 台中市| 桑植县| 柳河县| 得荣县| 梨树县| 诸暨市| 吉木萨尔县| 阜南县| 新田县| 乌什县| 宜良县| 岚皋县| 邮箱| 天柱县| 深水埗区| 陆川县| 郓城县| 荣昌县| 连山| 泰和县| 商南县| 盐津县|